以外脹式液漲芯軸夾具設計計算和應用為實例,闡述液漲芯軸夾具的工作原理、關鍵零部件強度理論計算校核和有限元分析。
有限元計算結果表明,正常工況下膨脹套最大等效應力為128.41MPa,有限元結果與理論計算結果的相對誤差僅為2.9%。
基于模糊評判理論完成液漲芯軸夾具使用風險分析研究,研究結果表明液漲芯軸夾具使用風險等級為“Ⅱ級”,能夠滿足日常企業生產要求。研究成果為解決汽車行業高精度齒輪等工件的加工精度問題和高精度檢具制作等提供了有益的參考。
液漲芯軸夾具因其定位精度高、操作簡便等優點,廣泛應用在齒輪加工和量檢具中。
在齒輪加工工序中,通常需要根據齒輪毛坯的內孔采用芯軸對齒輪進行準確的夾持,國外制造的靜壓膨脹芯軸已應用于滾齒、磨齒等齒輪加工中。
在汽車企業生產中,經常會遇到一些同步帶輪(其外圓跳動要求為0.03~0.05mm)等產品或高精度量檢具等,使用普通膨脹芯軸難以滿足高精度產品加工和質量檢驗的要求。
為了有效解決這一問題,以外脹式液漲芯軸夾具設計計算和應用為實例,闡述液漲芯軸夾具的工作原理、關鍵零部件強度計算校核和有限元分析。建立液漲芯軸夾具應用風險模糊評價體系,采用模糊數學理論及其綜合評判法對液漲芯軸夾具使用風險進行研究和評價,研究結果表明液漲芯軸夾具應用風險等級為Ⅱ級,能夠滿足日常企業生產要求。
液漲芯軸夾具就是利用靜壓傳遞原理,施加載荷后使薄壁膨脹套向外均勻膨脹,利用外圓筒薄壁的膨脹變形就可以實現對工件內孔的脹緊。
由于此時薄壁是各處均勻受壓,所以它是向四周均勻膨脹,內孔夾緊后的夾持精度很高。圖1為靜壓液漲芯軸夾具的結構原理圖。

圖1 液漲芯軸夾具結構原理圖
膨脹套強度理論計算:
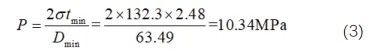
設計的液漲芯軸夾具的膨脹套外徑為φ63.5mm、內徑為58.5 mm,長度為96mm,加持工件內孔尺寸為φ63.5mm。工作時,膨脹套的變形為0.04mm,計算公式如下:
此時,應力為
根據材料力學第四強度理論
式中,tmin為膨脹套最小壁厚,單位為mm;D□為膨脹套最小外徑,單位為mm。
膨脹套強度有限元計算:
建立膨脹套有限元分析模型。采用Ansys有限元軟件,根據膨脹套具體工況進行加載和邊界約束,對膨脹套左右兩端進行固定約束,中間內筒部分施加式(3)計算得到的內部工作壓力為10.34MPa,圖2為等效應力云圖,圖3為徑向變形云圖。
結果表明,正常工況下膨脹套最大等效應力為128.41MPa,該應力值遠遠小于膨脹套65Mn材料的屈服強度785MPa,所以膨脹套強度校核通過。將有限元結果與理論計算結果比較,兩者相對誤差僅為2.9%。膨脹套單側徑向變形為0.018mm、雙側徑向變形為 0.036mm。

圖2 膨脹套等效應力云圖

圖3 膨脹套徑向變形云圖
液漲芯軸夾具風險評價體系:
建立液漲芯軸夾具風險模糊評價體系,該體系的二級影響因素分為產品因素和管理因素兩大類,每個二級影響因素都有4個三級影響因素,所建立的風險模糊評價體系如圖4所示。
第三級因素選取8個風險因素組成指標層C,第二級因素準則層B包含產品因素和管理2個因素,第一級因素為目標層液漲芯軸夾具應用風險A。

圖4 液漲芯軸夾具風險模糊評價體系
模糊綜合評價矩陣:
(1)評價集
依據相關方法,風險因素危險程度可劃分為5個等級,即Ⅰ級(很低)、Ⅱ級(較低)、Ⅲ級(一般)、Ⅳ級(較高)、Ⅴ級(很高),級別越低安全風險越小,越有利于企業日常安全生產。
(2)模糊評價矩陣
采用大數據統計方法,在企業中分別邀請設計、工藝、操作和管理等部門5位人員進行等級進行模糊評價。
計算得到準則層B各因素的模糊評價矩陣如下:
層次分析法得到的權重值分別如下:
(3) 一級模糊評價
B1的評判集為:
B2的評判集為:
(4)模糊綜合評價
計算得到模糊評判集為:
對上式進行歸一化處理,得到:
依據最大隸屬度原則可得:
根據風險評判集,可知液漲芯軸夾具應用風險為Ⅱ級(較低),即該夾具能夠滿足企業日常使用要求。
闡述液漲芯軸夾具的工作原理、關鍵零部件強度理論計算校核和有限元分析。計算結果表明,有限元結果與理論計算結果的相對誤差僅為2.9%。
建立液漲芯軸夾具應用風險模糊評價體系,采用模糊數學理論及其綜合評判法對液漲芯軸夾具使用風險進行研究和評價,研究結果表明液漲芯軸夾具應用風險等級為Ⅱ級,能夠滿足日常企業生產要求。
研究成果為解決汽車行業高精度齒輪等工件的加工精度問題和高精度檢具制作等提供了有益的參考。
作者簡介:姚美麗,女,1980年出生,山西省運城市人,工程師,2003年畢業于中國農業大學,獲學士學位,現從事汽車零部件夾具研究工作。
有限元計算結果表明,正常工況下膨脹套最大等效應力為128.41MPa,有限元結果與理論計算結果的相對誤差僅為2.9%。
基于模糊評判理論完成液漲芯軸夾具使用風險分析研究,研究結果表明液漲芯軸夾具使用風險等級為“Ⅱ級”,能夠滿足日常企業生產要求。研究成果為解決汽車行業高精度齒輪等工件的加工精度問題和高精度檢具制作等提供了有益的參考。
引 言
液漲芯軸夾具因其定位精度高、操作簡便等優點,廣泛應用在齒輪加工和量檢具中。
在齒輪加工工序中,通常需要根據齒輪毛坯的內孔采用芯軸對齒輪進行準確的夾持,國外制造的靜壓膨脹芯軸已應用于滾齒、磨齒等齒輪加工中。
在汽車企業生產中,經常會遇到一些同步帶輪(其外圓跳動要求為0.03~0.05mm)等產品或高精度量檢具等,使用普通膨脹芯軸難以滿足高精度產品加工和質量檢驗的要求。
為了有效解決這一問題,以外脹式液漲芯軸夾具設計計算和應用為實例,闡述液漲芯軸夾具的工作原理、關鍵零部件強度計算校核和有限元分析。建立液漲芯軸夾具應用風險模糊評價體系,采用模糊數學理論及其綜合評判法對液漲芯軸夾具使用風險進行研究和評價,研究結果表明液漲芯軸夾具應用風險等級為Ⅱ級,能夠滿足日常企業生產要求。
液漲芯軸結構原理
液漲芯軸夾具就是利用靜壓傳遞原理,施加載荷后使薄壁膨脹套向外均勻膨脹,利用外圓筒薄壁的膨脹變形就可以實現對工件內孔的脹緊。
由于此時薄壁是各處均勻受壓,所以它是向四周均勻膨脹,內孔夾緊后的夾持精度很高。圖1為靜壓液漲芯軸夾具的結構原理圖。

圖1 液漲芯軸夾具結構原理圖
液漲芯軸關鍵零部件計算
膨脹套強度理論計算:
設計的液漲芯軸夾具的膨脹套外徑為φ63.5mm、內徑為58.5 mm,長度為96mm,加持工件內孔尺寸為φ63.5mm。工作時,膨脹套的變形為0.04mm,計算公式如下:

膨脹套強度有限元計算:
建立膨脹套有限元分析模型。采用Ansys有限元軟件,根據膨脹套具體工況進行加載和邊界約束,對膨脹套左右兩端進行固定約束,中間內筒部分施加式(3)計算得到的內部工作壓力為10.34MPa,圖2為等效應力云圖,圖3為徑向變形云圖。
結果表明,正常工況下膨脹套最大等效應力為128.41MPa,該應力值遠遠小于膨脹套65Mn材料的屈服強度785MPa,所以膨脹套強度校核通過。將有限元結果與理論計算結果比較,兩者相對誤差僅為2.9%。膨脹套單側徑向變形為0.018mm、雙側徑向變形為 0.036mm。

圖2 膨脹套等效應力云圖

圖3 膨脹套徑向變形云圖
液漲芯軸夾具產品使用風險研究
液漲芯軸夾具風險評價體系:
建立液漲芯軸夾具風險模糊評價體系,該體系的二級影響因素分為產品因素和管理因素兩大類,每個二級影響因素都有4個三級影響因素,所建立的風險模糊評價體系如圖4所示。
第三級因素選取8個風險因素組成指標層C,第二級因素準則層B包含產品因素和管理2個因素,第一級因素為目標層液漲芯軸夾具應用風險A。

圖4 液漲芯軸夾具風險模糊評價體系
模糊綜合評價矩陣:
(1)評價集
依據相關方法,風險因素危險程度可劃分為5個等級,即Ⅰ級(很低)、Ⅱ級(較低)、Ⅲ級(一般)、Ⅳ級(較高)、Ⅴ級(很高),級別越低安全風險越小,越有利于企業日常安全生產。
(2)模糊評價矩陣
采用大數據統計方法,在企業中分別邀請設計、工藝、操作和管理等部門5位人員進行等級進行模糊評價。
計算得到準則層B各因素的模糊評價矩陣如下:


B1的評判集為:


計算得到模糊評判集為:

結論與建議
闡述液漲芯軸夾具的工作原理、關鍵零部件強度理論計算校核和有限元分析。計算結果表明,有限元結果與理論計算結果的相對誤差僅為2.9%。
建立液漲芯軸夾具應用風險模糊評價體系,采用模糊數學理論及其綜合評判法對液漲芯軸夾具使用風險進行研究和評價,研究結果表明液漲芯軸夾具應用風險等級為Ⅱ級,能夠滿足日常企業生產要求。
研究成果為解決汽車行業高精度齒輪等工件的加工精度問題和高精度檢具制作等提供了有益的參考。
作者簡介:姚美麗,女,1980年出生,山西省運城市人,工程師,2003年畢業于中國農業大學,獲學士學位,現從事汽車零部件夾具研究工作。
