文章探索了一種創新的變速箱故障診斷策略,該策略融合了小波包分解技術和神經網絡思想。首先使用小波包分析方法將變速箱的振動信號分解到各個頻段上,然后對其能量進行歸一化,在此基礎上建立基于BP神經網絡的自動診斷系統。在公共數據集上的試驗驗證顯示,該方法的識別率達到99.5%,證明了其有效性。
變速箱是車輛的核心部件之一,由于使用頻度高,受到發動機的扭矩輸出大,變速箱出現故障的概率仍然比較高。現有學者提出對變速箱的故障定位及檢測以振動故障信號的分析識別為主。從變速箱異響噪聲的產生機理來看,如果齒輪出現異常磨損、斷齒,變速箱主軸出現彎曲、不同軸后,箱體的振動頻率、噪聲頻率都會改變。目前對于大多數學者而言,主流的故障特征提取方法包括:1)時域特征提取。一方面,從時域信號中提取如方差、峭度、 峰值因子和歪度因子等特征,這些特征揭示了信號的基本統計屬性,具有方便理解、容易獲取的優勢;另一方面,通常該方法得到的特征維度較高,一般來說需要結合PCA主成分分析方法來實現降低特征維度的效果以簡化分析。2)頻域特征提取。通過對時域信號應用快速傅里葉變換,將其轉換為頻域信號,并提取重心頻率、均方頻率和頻率標準差等頻域特征。這些特征有助于識別和分析信號的頻率成分及其變化。3)時頻域特征提取。將時域信號轉換為時頻域信號,通過時頻分析技術從中提取故障特征。這種方法能夠同時捕捉信號在時間和頻率上的變化,提供更加全面的故障特征信息。基于多頻率解析的理念,小波包分析方法通過逐層深入地對信號進行分解,能夠有效地將信號中的高頻成分和低頻成分分開,從而揭示信號中潛藏的詳細特征。這種方法通過精細化的分解,能夠捕捉到信號的不同層次信息,為后續的特征提取提供了堅實的基礎。在此基礎上,本文提出了一種創新的故障診斷技術,通過將小波包變換與神經網絡的優勢巧妙結合,開發出了一種高效的診斷方案。具體而言,首先,對信號進行小波包分解,并計算了每個分解節點上的信號能量,這些能量值構成了一個全面的特征向量,這 一向量能夠充分反映信號的關鍵特征。其次,基于這些特征向量建立了一個神經網絡模型,該模型經過精心設計,能夠學習和識別各種故障模式。在訓練階段,將采集到的振動信號作為訓練數據集, 輸入到神經網絡中進行訓練。這個過程不僅使得神經網絡能 夠適應和識別不同的故障模式,而且提高了故障診斷的準確性和可靠性。最后,經過訓練后的神經網絡成功地實現了對變速箱故障模式的準確識別。此方法不僅顯著提升了故障診斷的精度,而且在實際工程應 用中展現出強大的實用價值,為工業設備的維護和管理提供了有效的技術支持。
小波包分析原理:鑒于變速箱故障診斷信號的非平穩特性,振動信號中蘊含了豐富且關鍵的故障特征信息。因此,為了深入挖掘并準確解析這些特征,對軸承故障診斷信號實施更為精細的分解與分析顯得尤為重要。這一處理過程旨在從復雜的信號波動中提取出細微的故障跡象,為后續的診斷提供堅實的數據基礎。小波包分析方法通過同時處理信號的低頻和高頻部分,相當于 在信號處理中引入了高通濾波器和低通濾波器的功能,提供了更全面的信號頻譜信息。在初始階段,對原始信號進行第一層小波包分解, 得到兩部分信號:低頻成分和高頻成分。這一分解過程為提取信號的粗略特征奠定了基礎。接下來的第二層分解將這兩部分信號進一步細化,使低頻信號和高頻信號各自被分解成更多的頻率段。這一過程細化了每個頻帶內的特征,揭示了信號中更細微的變化和特征。理論上,隨著分解層級的增加,小波包分析能夠逐步展現原始信號在更廣泛頻帶范圍內的詳細信息。這種逐層深入的分析方式允許捕捉信號的各種頻率成分, 提供更精細的頻譜特征。這不僅幫助人們更準確地理解信號的頻率特征,還為后續的信號處理和故障檢測提供了豐富的數據支持。圖1展示了小波包分析在第3層分解時的樹狀結構圖, 直觀地展示了信號分解的層次和頻帶劃分的精細程度,為后續的信號分析和故障診斷奠定了堅實的基礎。

圖 1 小波包3層分解樹狀圖
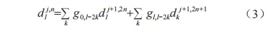
小波包分解系數的遞推公式為:

小波包的重構公式為:

式中,dlj,n為 第 j 級小波包系數;dlj+1,n為第j+1級小波包系數;h0,2l-k、hl,2l-k為分解系數;g0,l-2k、gl,l-2k為重構系數
小波包能量特征向量提取基本原理:由于小波包變換具有將信號能量無重疊且正交地分配到各個頻帶的能力,并且不同變速箱故障引發的振動信號在特定頻帶上表現出顯著的能量差異。 因此,經過小波包分解后,各頻帶上的信號能量能夠成為識別變速箱故障的重要特征。這種方法利用了信號在不同頻帶中的能量變化,幫助人們有效地區分和識別各種故障模式。值得一提的是,小波包分解過程并未改變信號的總能量,僅僅是將信號在頻域上進行了重新組織。這一特性遵循了能量守恒定律,確保了信號的總能量在分解前后保持一致。具體來說,通過小波包分解得到的各頻帶系數的平方和總和與原始信號在時域中的總能量完全相等。這種能量保留的特性保證了分解結果的準確性,使得信號分析過程具有可靠性和一致性,為后續的故障診斷和特征提取奠定了堅實的基礎。通過這種方法,能夠獲得更加詳細和精準的信號特征,進而提高故障檢測的準確率和效率。

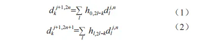
假設小波包分解后得到M個子頻帶,每個子頻帶的信號能量:

式中,Ni為第i個子頻帶的系數長度。
BP神經網絡:20世紀80年代,Rumelhart等提出了反向傳播算法,即BP神經網絡算法,這是一種多層前饋網絡模型。這種網絡不需要預先定義輸入與輸出之間的數學關系,而是通過模擬人腦的學習機制,逐步掌握這些規則。當輸入值已知時,網絡經過訓練可以預測出盡可能接近實際的輸出值。BP神經網絡的核心是神經元模型,這一模型旨在模擬生物神經元的基本功能。在神經網絡中,神經元通過連接進行信息傳遞。當某個神經元的膜電位達到特定閾值時,該神經元會被激活,并向其他連接的神經元發送信號。這種網絡通常由3部分組成:輸入層負責接收外部數據,隱含層進行數據處理和特征提取,輸出層生成最終結果。BP神經網絡的學習過程使用如最速下降法等優化算法來減少輸出誤差。通過誤差反向傳播,網絡能夠調整各層的權重和閾值。在正向傳播階段,信號從輸入層經過隱含層傳遞到輸出層;而在反向傳播階段,網絡根據誤差調整各層的參數。這種機制使BP神經網絡能夠學習并實現復雜的非線性輸入輸出映射關系。BP神經網絡結構及算法中的變量符號一般如圖2所示。

圖2 BP神經網絡結構及算法中的變量符號

故障數據在不同狀況下的信號頻段能量分布如圖3所示。可以看出健康數據的能量集中在1、2節點,滾珠故障數據的能量主要集中在第8節點,外圈故障數據的能量主要集中在1、2、6、8 節點,內圈故障數據的能量比較分散,分布在1、2、3、4、7、8 節點。 因此,可以通過小波包分析提取原始信號在不同頻段內的能量分布,并以此作為神經網絡的輸入特征向量。

圖3 不同故障形式下的信號頻段能量分布
基于BP神經網絡的故障診斷:在基于BP神經網絡的故障診斷模型中,確定神經網絡的結構和每層的神經元節點數是至關重要的步驟。根據前面的分析,輸入層的節點數被設定為8,這一設置與特征向量的維度一致,確保了所有輸入數據特征能夠被網絡有效接收和處理。輸出層的節點數設置為4,代表了不同的故障類別,使得網絡能夠對不同類型的故障進行分類。隱含層的節點數則根據經驗設定為20,這一選擇旨在提供足夠的網絡容量來捕捉和學習復雜的特征模式和非線性關系。隱含層的節點數對于網絡的學習能力和泛化能力至關重要,能夠幫助網絡更好地適應訓練數據并提高對新數據的識別準確性。圖4展示了該模型的詳細算法流程,清晰地描繪了數據在網絡各層之間的傳遞和處理過程。這些信息有助于理解網絡的工作機制及其在故障診斷中的應用。通過這種精心設計的網絡結構,可以有效提升模型的性能,確保故障診斷的準確性和可靠性,同時為實際工程應用奠定堅實的基礎。

圖4 基于小波包分析和BP 神經網絡的診斷流程
從圖5中可以看出,本文的測試集樣本總數為2000個。BP神經網絡的診斷算法在這些測試樣本上的識別率達到了99.95%,這充分表明了該算法在故障診斷中的高效性和準確性。這一結果驗證了模型在處理實際數據時的出色性能,進一步證明了其在實際應用中的有效性。

圖5 預測結果和真實分類的對比
1)通過對故障信號數據進行小波包分析,可以提取出各個頻段的能量特征。由于不同故障狀態下能量分布的差異,這些特征可以有效地用于故障類型的識別。2)將小波包分析方法應用于特征向量的構造,并結合BP 神經網絡進行訓練,可以充分利用訓練集來優化網絡模型。經過訓練的網絡在測試集中的故 障信號識別效果顯著,表明這種方法高效且準確,適用于工程實際中的故障診斷。
參考文獻略。
0引言
變速箱是車輛的核心部件之一,由于使用頻度高,受到發動機的扭矩輸出大,變速箱出現故障的概率仍然比較高。現有學者提出對變速箱的故障定位及檢測以振動故障信號的分析識別為主。從變速箱異響噪聲的產生機理來看,如果齒輪出現異常磨損、斷齒,變速箱主軸出現彎曲、不同軸后,箱體的振動頻率、噪聲頻率都會改變。目前對于大多數學者而言,主流的故障特征提取方法包括:1)時域特征提取。一方面,從時域信號中提取如方差、峭度、 峰值因子和歪度因子等特征,這些特征揭示了信號的基本統計屬性,具有方便理解、容易獲取的優勢;另一方面,通常該方法得到的特征維度較高,一般來說需要結合PCA主成分分析方法來實現降低特征維度的效果以簡化分析。2)頻域特征提取。通過對時域信號應用快速傅里葉變換,將其轉換為頻域信號,并提取重心頻率、均方頻率和頻率標準差等頻域特征。這些特征有助于識別和分析信號的頻率成分及其變化。3)時頻域特征提取。將時域信號轉換為時頻域信號,通過時頻分析技術從中提取故障特征。這種方法能夠同時捕捉信號在時間和頻率上的變化,提供更加全面的故障特征信息。基于多頻率解析的理念,小波包分析方法通過逐層深入地對信號進行分解,能夠有效地將信號中的高頻成分和低頻成分分開,從而揭示信號中潛藏的詳細特征。這種方法通過精細化的分解,能夠捕捉到信號的不同層次信息,為后續的特征提取提供了堅實的基礎。在此基礎上,本文提出了一種創新的故障診斷技術,通過將小波包變換與神經網絡的優勢巧妙結合,開發出了一種高效的診斷方案。具體而言,首先,對信號進行小波包分解,并計算了每個分解節點上的信號能量,這些能量值構成了一個全面的特征向量,這 一向量能夠充分反映信號的關鍵特征。其次,基于這些特征向量建立了一個神經網絡模型,該模型經過精心設計,能夠學習和識別各種故障模式。在訓練階段,將采集到的振動信號作為訓練數據集, 輸入到神經網絡中進行訓練。這個過程不僅使得神經網絡能 夠適應和識別不同的故障模式,而且提高了故障診斷的準確性和可靠性。最后,經過訓練后的神經網絡成功地實現了對變速箱故障模式的準確識別。此方法不僅顯著提升了故障診斷的精度,而且在實際工程應 用中展現出強大的實用價值,為工業設備的維護和管理提供了有效的技術支持。
1小波包分析理論
小波包分析原理:鑒于變速箱故障診斷信號的非平穩特性,振動信號中蘊含了豐富且關鍵的故障特征信息。因此,為了深入挖掘并準確解析這些特征,對軸承故障診斷信號實施更為精細的分解與分析顯得尤為重要。這一處理過程旨在從復雜的信號波動中提取出細微的故障跡象,為后續的診斷提供堅實的數據基礎。小波包分析方法通過同時處理信號的低頻和高頻部分,相當于 在信號處理中引入了高通濾波器和低通濾波器的功能,提供了更全面的信號頻譜信息。在初始階段,對原始信號進行第一層小波包分解, 得到兩部分信號:低頻成分和高頻成分。這一分解過程為提取信號的粗略特征奠定了基礎。接下來的第二層分解將這兩部分信號進一步細化,使低頻信號和高頻信號各自被分解成更多的頻率段。這一過程細化了每個頻帶內的特征,揭示了信號中更細微的變化和特征。理論上,隨著分解層級的增加,小波包分析能夠逐步展現原始信號在更廣泛頻帶范圍內的詳細信息。這種逐層深入的分析方式允許捕捉信號的各種頻率成分, 提供更精細的頻譜特征。這不僅幫助人們更準確地理解信號的頻率特征,還為后續的信號處理和故障檢測提供了豐富的數據支持。圖1展示了小波包分析在第3層分解時的樹狀結構圖, 直觀地展示了信號分解的層次和頻帶劃分的精細程度,為后續的信號分析和故障診斷奠定了堅實的基礎。

圖 1 小波包3層分解樹狀圖
小波包分解系數的遞推公式為:

小波包能量特征向量提取基本原理:由于小波包變換具有將信號能量無重疊且正交地分配到各個頻帶的能力,并且不同變速箱故障引發的振動信號在特定頻帶上表現出顯著的能量差異。 因此,經過小波包分解后,各頻帶上的信號能量能夠成為識別變速箱故障的重要特征。這種方法利用了信號在不同頻帶中的能量變化,幫助人們有效地區分和識別各種故障模式。值得一提的是,小波包分解過程并未改變信號的總能量,僅僅是將信號在頻域上進行了重新組織。這一特性遵循了能量守恒定律,確保了信號的總能量在分解前后保持一致。具體來說,通過小波包分解得到的各頻帶系數的平方和總和與原始信號在時域中的總能量完全相等。這種能量保留的特性保證了分解結果的準確性,使得信號分析過程具有可靠性和一致性,為后續的故障診斷和特征提取奠定了堅實的基礎。通過這種方法,能夠獲得更加詳細和精準的信號特征,進而提高故障檢測的準確率和效率。
BP神經網絡:20世紀80年代,Rumelhart等提出了反向傳播算法,即BP神經網絡算法,這是一種多層前饋網絡模型。這種網絡不需要預先定義輸入與輸出之間的數學關系,而是通過模擬人腦的學習機制,逐步掌握這些規則。當輸入值已知時,網絡經過訓練可以預測出盡可能接近實際的輸出值。BP神經網絡的核心是神經元模型,這一模型旨在模擬生物神經元的基本功能。在神經網絡中,神經元通過連接進行信息傳遞。當某個神經元的膜電位達到特定閾值時,該神經元會被激活,并向其他連接的神經元發送信號。這種網絡通常由3部分組成:輸入層負責接收外部數據,隱含層進行數據處理和特征提取,輸出層生成最終結果。BP神經網絡的學習過程使用如最速下降法等優化算法來減少輸出誤差。通過誤差反向傳播,網絡能夠調整各層的權重和閾值。在正向傳播階段,信號從輸入層經過隱含層傳遞到輸出層;而在反向傳播階段,網絡根據誤差調整各層的參數。這種機制使BP神經網絡能夠學習并實現復雜的非線性輸入輸出映射關系。BP神經網絡結構及算法中的變量符號一般如圖2所示。

圖2 BP神經網絡結構及算法中的變量符號
2變速箱故障診斷模型的構建
實驗數據集采用美國凱斯西儲大學(CWRU)公開數據。CWRU數據集是世界公認的故障診斷標準數據集,截至2015年,僅僅機械故障診斷領域頂級期刊就發表過41篇CWRU數據診斷的文章。因此本文的實驗數據也采用該公開數據集。文章選取電機轉速在1797r/min下的4種狀態數據,包括正常數據、內圈故障、外圈故障、滾動體損傷。為了保證數據的充分性,針對每一種狀態,共選取了1000個樣本,其中訓練樣本和測試樣本的比例為1∶1,對應的數據集描述如表1所示。 表1 實驗數據集描述

小波包特征能量提取:采用db3小波基對4 種不同狀態的信號進行3層小波包分解,可以得到8個不同頻帶的信號特征。為了實現對信號的有效降噪,首先需要對這8個信號特征進行重構,并計算各個頻段的能量值,這些能量值分別標記為E1至E8 。通過將這8個頻帶的能量值組合成一個能量特征向量,能夠為信號的后續分析和處理提供有用的特征信息。在具體操作中,重構過程確保了信號的降噪效果,通過精確計算每個頻段的能量值,能夠提取出信號在不同頻帶上的重要特征。這些能量值反映了信號在各個頻段的能量分布情況,因此,它們對于信號的故障檢測和診斷至關重要。圖3展示了不同故障狀態下信號的頻段能量分布情況,直觀地呈現了各個頻段的能量特征及其在不同故障條件下的變化。這些信息可以用于進一步分析和識別不同的故障模式。

圖3 不同故障形式下的信號頻段能量分布
基于BP神經網絡的故障診斷:在基于BP神經網絡的故障診斷模型中,確定神經網絡的結構和每層的神經元節點數是至關重要的步驟。根據前面的分析,輸入層的節點數被設定為8,這一設置與特征向量的維度一致,確保了所有輸入數據特征能夠被網絡有效接收和處理。輸出層的節點數設置為4,代表了不同的故障類別,使得網絡能夠對不同類型的故障進行分類。隱含層的節點數則根據經驗設定為20,這一選擇旨在提供足夠的網絡容量來捕捉和學習復雜的特征模式和非線性關系。隱含層的節點數對于網絡的學習能力和泛化能力至關重要,能夠幫助網絡更好地適應訓練數據并提高對新數據的識別準確性。圖4展示了該模型的詳細算法流程,清晰地描繪了數據在網絡各層之間的傳遞和處理過程。這些信息有助于理解網絡的工作機制及其在故障診斷中的應用。通過這種精心設計的網絡結構,可以有效提升模型的性能,確保故障診斷的準確性和可靠性,同時為實際工程應用奠定堅實的基礎。

圖4 基于小波包分析和BP 神經網絡的診斷流程
從圖5中可以看出,本文的測試集樣本總數為2000個。BP神經網絡的診斷算法在這些測試樣本上的識別率達到了99.95%,這充分表明了該算法在故障診斷中的高效性和準確性。這一結果驗證了模型在處理實際數據時的出色性能,進一步證明了其在實際應用中的有效性。

圖5 預測結果和真實分類的對比
3結論
1)通過對故障信號數據進行小波包分析,可以提取出各個頻段的能量特征。由于不同故障狀態下能量分布的差異,這些特征可以有效地用于故障類型的識別。2)將小波包分析方法應用于特征向量的構造,并結合BP 神經網絡進行訓練,可以充分利用訓練集來優化網絡模型。經過訓練的網絡在測試集中的故 障信號識別效果顯著,表明這種方法高效且準確,適用于工程實際中的故障診斷。
參考文獻略。
